Job Control, Library Instruction, and Burnout: A Quantitative Analysis of Academic Instruction Librarians’ Experiences of Job Control While Teaching
Providing library instruction, often via one-shots in someone else’s classroom, may reduce feelings of agency or job control for academic instruction librarians. This study addresses potential differences in job control across core responsibilities, specifically looking at the difference between job duties overall and instruction responsibilities.
As we consider the characteristics of library instruction, we should examine how those characteristics impact librarian agency in teaching spaces and acts. For job control regarding instruction, training and experience may have specific impacts and should be pursued as a way to empower academic library instructors.
Introduction
In the 2022 closing keynote for the Critical Librarianship and Pedagogy Symposium, Baharak Yousefi said that “no physicist, historian, or geographer on our campus teaches this way: going around begging for the right to teach in a one-off manner.” Yousefi’s statement underscores the inherent lack of control within the one-shot model. However, empirical research on job control among academic instruction librarians is lacking. Given that the one-shot model is the predominate approach for instruction in academic libraries, control among academic instruction librarians requires further consideration and research.
By giving up this control, academic instruction librarians may be put in a precarious position that lends itself to higher levels of burnout. Johnson (2023) found that job control is inversely correlated with burnout, such that academic librarians with low job control might experience higher levels of burnout. In that study, the data also demonstrated that the effects of status (e.g., faculty, academic staff, or staff) and teaching workload (e.g., far too light to far too excessive) are statistically significant and small. Participants identified as staff and participants with “far too excessive” workloads experienced less job control.
To further understand job control as a phenomenon among academic librarians, this study addresses potential differences in job control across core responsibilities, specifically looking at the difference between job duties overall and instruction responsibilities. It is hypothesized that perception of job control when completing instructional responsibilities and tasks will be lower than it is when completing other general librarian duties.
Literature Review
For academic librarians, providing instruction can be fraught. Developing a teacher identity, working with faculty, and engaging with students could all impact feelings of agency and control. Furthermore, library instruction can encompass a variety of teaching practices, including one-shots, credit-bearing courses, and standalone workshops, and can occur in various modalities, including synchronous, asynchronous, or hybrid teaching. This nebulous landscape may be difficult to fully understand or capture and may require considerable nuance and knowledge of the field in order to explain how librarians experience control and agency during instruction.
Job Control and Burnout
According to Ganster (1989), job control is “the ability to exert some influence over one’s environment so that the environment becomes more rewarding or less threatening.” Job control is an expansive concept covering a wide range of dimensions, such as work tasks, work pacing, work scheduling, physical environment, decision making, interaction, and mobility. Burnout, as defined by the World Health Organization (WHO) in their International Classification of Diseases, 11th Edition (ICD-11), is “a syndrome conceptualized as resulting from chronic workplace stress that has not been successfully managed. It is characterised by three dimensions: 1) feelings of energy depletion or exhaustion; 2) increased mental distance from one’s job, or feelings of negativism or cynicism related to one’s job; and 3) a sense of ineffectiveness and lack of accomplishment” (2020). Johnson (2023) and Wood et al. (2020) both found that academic librarians are experiencing a high rate of burnout. These findings empirically prove what we’ve already known in the field: librarians are burning out.
Existing research suggests that low job control may predict higher levels of burnout (Park et al., 2014; Portoghese et al., 2014; Taris et al., 2005). Johnson (2023) corroborates this finding among a sample of academic instruction librarians. The study, sample, and data discussed in that article are the same as in this article; however, here the focus is on job control while performing instructional responsibilities whereas the previous article looked at job control and burnout more generally. Throughout this article, the terms job control and agency are occasionally conflated, which is aligned with Leiter & Maslach’s (2003) use of agency in the Areas of Worklife Survey, a companion to the Maslach Burnout Inventory, which relies on the Job Demand-Control (JDC) model (Karasek, 1979). Job control may also be conceived similarly to the concept of autonomy.
Job control and burnout are related psychological phenomena as demonstrated by their inverse correlation in Johnson (2023), among librarians, as well as in studies of other professions (Taris et al., 2005). As such, they have many similar impacts on worker health and satisfaction. Inadequate job control may result in increased anxiety (Jensen et al., 2013; Sanne et al., 2005; Too et al., 2021), depression (Sanne et al., 2005; Too et al., 2021), stress (Chiang et al., 2010; Thompson & Prottas, 2006), work-family conflict (Thompson & Prottas, 2006), role overload (Jensen et al., 2013), and turnover intentions (Jensen et al., 2013; Thompson & Prottas, 2006). In contrast, workers with higher job control are more likely to be satisfied with their jobs and have better attitudes toward the job itself (Thompson & Prottas, 2006). As mentioned above, low job control also predicts higher levels of burnout. In a systematic review examining physical, psychological, and occupational consequences of burnout, the authors found that
[b]urnout was a significant predictor of the following physical consequences: hypercholesterolemia, type 2 diabetes, coronary heart disease, hospitalization due to cardiovascular disorder, musculoskeletal pain, changes in pain experiences, prolonged fatigue, headaches, gastrointestinal issues, respiratory problems, severe injuries and mortality below the age of 45 years. The psychological effects were insomnia, depressive symptoms, use of psychotropic and antidepressant medications, hospitalization for mental disorders and psychological ill-health symptoms. Job dissatisfaction, absenteeism, new disability pension, job demands, job resources and presenteeism were identified as professional outcomes (Salvagioni et al., 2017, p. 1).
Library Instruction: One-shots and Training
In both her guest editorial and her introduction to the College & Research Libraries special issue on one-shots, Nicole Pagowsky considers the concept of agency regarding library instruction (2021, 2022). In the guest editorial, she defines a one-shot as “a standalone session, superficially (or not at all) connected to course content, that is tacked onto a class. Within a curriculum, the one-shot has no memory of where information literacy has been and no vision of where it is going. It is ephemeral within cycles of ineffectiveness” (Pagowsky, 2021, p. 300). In the subsequent introduction to the special issue on one-shots, she argues that “One-shots are not in a binary of good versus bad, but rather in a spectrum with varied experiences resulting from differing levels of agency and marginalization” (Pagowsky, 2022, p. 721). As we consider library instruction, and one-shots in particular, agency or control may be a predictor of negative experiences of the one-shot.
While the one-shot model may be one structure impacting job control among academic instruction librarians, a possible lack of training may also result in librarians who are unprepared to perform instruction and possibly unsure of how to exercise their agency during instructional situations. In 2015, Laura Saunders noted that “despite the fact that LIS programs are offering courses on instruction, studies of practicing librarians indicate that most did not learn instruction or teaching skills in their master’s program, and many feel underprepared to take on a teaching role.” She found that the majority of ALA-accredited programs do provide some course options for information literacy and library instruction; however, she also points to related limitations, such as the fact that offerings of these courses have not increased in recent years despite instruction growing as a role for librarians, and that librarians likely need more than one course in order to become effective teachers. It’s possible that lacking training and being unprepared for instructional responsibilities contributes to feelings of lacking control or agency.
Building on questions about the one-shot model and teacher training, this study presents an empirical examination of job control among academic instruction librarians to expand our understanding of this phenomenon and to consider job control as one avenue for mitigating burnout among librarians. Given the implications for individual and organizational health, libraries and librarians need to build further understanding of these psychological concepts and to develop practical solutions. This research catalyses this conversation by looking at issues with job control when librarians perform their teaching responsibilities.
Methods
A web survey was administered to measure job control and burnout among academic librarians with instruction responsibilities. The survey used a psychometric measurement of job control; it asked respondents to complete the inventory considering job control when completing their general job duties and then specifically when completing instructional responsibilities. The goal was to compare the job control scores for general duties to those for instructional responsibilities.
Sample and Recruitment
The study targeted academic librarians with some instruction responsibilities and recruited participants primarily via email distribution lists. A recruitment email was sent three times (August 29, 2022; September 13, 2022; and September 28, 2022) via ALA Connect, a forum and email distribution system maintained by the American Library Association (ALA), to three lists: ACRL Members, which includes approximately 7,200 members; ACRL Instruction Section, which includes 4,800 members; and Information Literacy Instruction in Academic Libraries, which includes 292 members. Concurrent messages were sent via the social media platform Twitter. In the end, 307 survey responses were collected, of which, 245 included complete results, which were used for data analysis.
Measures
The web survey was created using SpringShare’s LibWizard and included demographic questions, questions about the characteristics of the participant’s work, and two validated psychometric inventories: Ganster’s (1989) 22-item job control inventory and Kristensen et al.’s (2005) 19-item Copenhagen Burnout Inventory.
Ganster’s (1989) job control inventory includes 22 questions to measure job control across various dimensions. Scoring for the job control inventory uses a Likert scale with values one through five attributed (Very little = 1; Little = 2; A moderate amount = 3; Much = 4; and Very much =5). A participant’s job control score is their average across the first 21 items. The twenty-second item is used as a control. Participants were asked to complete the same job control inventory twice: first, as it applies to their general job duties and then specifically considering their instructional responsibilities.
Cronbach’s alpha was used to measure internal consistency as a measurement of the reliability of the scale. The Cronbach’s alpha for the 21-item job control scale was 0.89 (n=245) when used for job control in general and 0.894 (n=245) when used for job control specifically related to instruction. This is similar to Ganster’s (1989) report on the scale, which had an alpha of 0.87 (n = 191), and Dywer & Ganster’s (1991) study, which also had an alpha of 0.87 (n = 90). Ganster (1989) presents factor analysis to demonstrate construct validity.
The Copenhagen Burnout Inventory (CBI) includes three subscales: personal burnout (six items), work-related burnout (seven items), and client-related burnout (six items). For the purposes of this study, the word client in the client-related burnout subscale was changed to “patrons,” to better suit the sample population. This is aligned with recommendations for the use of CBI in practice: “‘Clients’ is a broad concept covering terms such as patients, inmates, children, students, residents, etc. When the CBI is used in practice, the term appropriate for the specific group of respondents is used” (Kristensen et al., 2005).
The CBI uses two different Likert scales that are given values ranging from zero to 100. The total work-related burnout score (TWRBS), total personal burnout score (TPBS), and total client-related burnout score (TCRBS) are the average within the given subscale for the participant.
The Cronbach’s alpha for the personal burnout subscale, work-related burnout subscale, and client-related burnout subscale from the Copenhagen Burnout Inventory were 0.875, 0.889, and 0.887, respectively, which is similar to the findings of both Kristensen et al. (2005)—which reported a range from 0.85 to 0.87 (n = 1,910) —and Wood et al. (2020) with a Cronbach’s alpha of 0.798 (n = 1,808) for the work-related burnout subscale. Previous studies have reported on the psychometric properties of the CBI, including conducting factor analysis using factorial validity to measure construct validity (Johnson, 2024, Walters et al., 2020; Creedy et al., 2017, Milfont et al. 2008).
Statistical Analyses
Analyses were conducted using the R Statistical language [version 4.2.1; R Core Team (2022)] on macOS Monterey 12.5.1, using the packages easystats [version 0.5.2; Lüdecke et al. (2022)], ltm [version 1.2.0; Rizopoulos (2007)], MASS [version 7.3.58.1; Venables & Ripley (2002)], plyr [version 1.8.8; Wickham (2011)], ggplot2 [version 3.4.0; Wickham (2022a)], stringr [version 1.4.1; Wickham (2022b)], dplyr [version 1.0.10; Wickham et al. (2022)], and tidyr [version 1.2.1; Wickham & Girlich (2022)].
Ethical Considerations
Human research ethics approval was obtained from the Institutional Review Board at the University of California, Los Angeles (IRB#22-001337), which certified the study as exempt. No survey responses were required though a response of “prefer not to disclose” was available for many questions. Participants clicked a button labeled “I agree to participate” to signal consent prior to beginning the survey.
Results
Within the sample of academic librarians who have some degree of instructional responsibility, the mean job control perceived when completing general duties was 3.33 and the mean job control when completing instructional responsibilities was 3.13. A comparison of the characteristics of these data are included in Table 1. A box plot showing the distribution of these data with the median as the center is included in Figure 1.
|
Table 1 |
||
|
A Summary of Job Control Data |
||
|
Attribute |
Job Control (General) |
Job Control (Instruction) |
|
Std. Dev. |
0.52 |
0.60 |
|
Median |
3.33 |
3.14 |
|
MAD |
0.49 |
0.64 |
|
Min |
1.86 |
1.62 |
|
Max |
5.00 |
5.00 |
|
N |
245 |
245 |
|
Skewness |
-0.09 |
0.26 |
|
Kurtosis |
0.13 |
0.30 |
|
Figure 1 |
|
Distribution of Job Control Data (Note: The median is used for the center.) |
|
|
The paired t-test testing the difference suggests that the effect is positive, statistically significant, and medium (difference = 0.20, 95% CI [0.16, 0.25], t(244) = 8.29, p < .001; Cohen’s d = 0.53, 95% CI [0.40, 0.66]). The effect size is labeled following Cohen’s (1988) recommendations. Figure 2 and Table 2 break down the difference between job control in general and job control for instruction based on severity of burnout (moderate, high, and severe).
|
Figure 2 |
|
Job Control by Dimension and Severity of Burnout |
|
|
|
Table 2 |
|||
|
Means for Job Control (General) and Job Control (Instruction) by Severity of Burnout |
|||
|
Burnout Severity |
N |
Job Control (General) |
Job Control (Instruction) |
|
Work-Related |
|||
|
No Burnout |
114 |
3.55 |
3.35 |
|
Moderate |
95 |
3.23 |
2.98 |
|
High |
35 |
2.96 |
2.84 |
|
Severe |
1 |
1.86 |
2.19 |
|
Client-Related |
|||
|
No Burnout |
209 |
3.39 |
3.2 |
|
Moderate |
26 |
3.12 |
2.92 |
|
High |
9 |
2.91 |
2.34 |
|
Severe |
1 |
1.86 |
2.19 |
|
Personal |
|||
|
No Burnout |
75 |
3.53 |
3.34 |
|
Moderate |
122 |
3.29 |
3.07 |
|
High |
46 |
3.13 |
2.95 |
|
Severe |
2 |
3.67 |
3.07 |
The Pearson’s product-moment correlation between Job Control (General) and Job Control (Instruction) is positive, statistically significant, and very large (r = 0.77, 95% CI [0.71, 0.82], t(243) = 18.87, p < .001). Effect sizes were labeled following Funder & Ozer’s (2019) recommendations. The psychometric test for Job Control (General) and Job Control (Instruction) is the same test measuring the same concept but within different contexts for the same participants.
Linear models (estimated using OLS) were fitted to predict TWRBS (Figure 3), TPBS (Figure 4), and TCRBS (Figure 5) with job control when completing instructional responsibilities:
- TWRBS ~ Job Control (Instruction): The model explains a statistically significant and moderate proportion of variance (R2 = 0.13, F(1, 243) = 37.22, p < .001, adj. R2 = 0.13). The model’s intercept, corresponding to Job Control (Instruction) = 0, is at 86.96 (95% CI [74.77, 99.15], t(243) = 14.05, p < .001). Within this model, the effect of Job Control (Instruction) is statistically significant and negative (beta = -11.85, 95% CI [-15.67, -8.02], t(243) = -6.10, p < .001; Std. beta = -0.36, 95% CI [-0.48, -0.25]). The model is shown in Figure 3 along with the linear model to predict TWRBS with Job Control (General).
- TPBS ~ Job Control (Instruction): The model explains a statistically significant and weak proportion of variance (R2 = 0.09, F(1, 243) = 22.61, p < .001, adj. R2 = 0.08). The model’s intercept, corresponding to Job Control (Instruction) = 0, is at 85.16 (95% CI [73.27, 97.04], t(243) = 14.11, p < .001). Within this model, the effect of Job Control (Instruction) is statistically significant and negative (beta = -9.00, 95% CI [-12.73, -5.27], t(243) = -4.76, p < .001; Std. beta = -0.29, 95% CI [-0.41, -0.17]). The model is shown in Figure 4 along with the linear model to predict TPBS with Job Control (General).
- TCRBS ~ Job Control (Instruction): The model explains a statistically significant and weak proportion of variance (R2 = 0.11, F(1, 243) = 29.23, p < .001, adj. R2 = 0.10). The model’s intercept, corresponding to Job Control (Instruction) = 0, is at 63.41 (95% CI [50.52, 76.30], t(243) = 9.69, p < .001). Within this model, the effect of Job Control (Instruction) is statistically significant and negative (beta = -11.10, 95% CI [-15.15, -7.06], t(243) = -5.41, p < .001; Std. beta = -0.33, 95% CI [-0.45, -0.21]). The model is shown in Figure 5 along with the linear model to predict TCRBS with Job Control (General).
|
Figure 3 |
|
Scatterplot and Linear Regression between Work-related Burnout and Job Control |
|
|
|
Figure 4 |
|
Scatterplot and Linear Regression between Personal Burnout and Job Control |
|
|
|
Figure 5 |
|
Scatterplot and Linear Regression between Client-related Burnout and Job Control |
|
|
|
Figure 6 |
|
Scatterplot and Linear Regression between Dimensions of Burnout and Areas of Job Control |
|
|
Standardized parameters were obtained by fitting the models on a standardized version of the dataset. 95% Confidence Intervals (CIs) and p-values were computed using a Wald t-distribution approximation.
While the R2 for all the above models using job control for instruction are lower than found in Johnson (2023), using job control in general—which suggests that job control for instruction explains a weaker proportion of variance—the data still suggest some impact of job control on burnout. Since burnout is a multi-faceted phenomenon, it makes sense that job control wouldn’t be a sole predictor of burnout.
Analysis of Variance
Johnson (2023) found that extent of job control is tied to status (e.g., faculty, academic staff, or staff) and teaching workload when measuring job control generally. This study looks specifically at perception of job control when completing instructional tasks and found that both time since degree (in years), and whether or not training for instruction was received have statistically significant (p < 0.05) effects on job control. Time at institution, full-time or part-time status, and tenure status for individuals had weaker evidence that the observed extremeness of differences in means was not random (p < 0.1). For income, the p value was slightly higher (p = 1.04), so the data are presented in the results for readers who may still be interested. Finally, because status and teaching workload were significant in the study of job control in general, details about those results are included below as well. Table 3 shows the results for statistical significance computed using ANOVA tests for each demographic and job characteristic studied. In the sections that follow, the effect sizes are labeled following Field’s (2013) recommendations.
|
Table 3 |
|
|
P-Values from Anova Tests of Attributes Studied |
|
|
Attribute |
p-value |
|
Gender |
0.572 |
|
Gender Modality |
0.192 |
|
Disability |
0.822 |
|
Income |
0.104 |
|
Time at Institution |
0.0583 * |
|
Time Since Degree |
0.0263 ** |
|
Time in Libraries |
0.195 |
|
Public or Private |
0.406 |
|
Non-profit or For-profit |
0.858 |
|
Permanent or Temporary |
0.187 |
|
Full-time or Part-time |
0.0934 * |
|
Staff or Faculty |
0.238 |
|
Tenure (individual) |
0.0845 * |
|
Tenure (institution) |
0.215 |
|
Union |
0.972 |
|
Training Received |
0.0357 ** |
|
Training Quality |
0.814 |
|
Teaching Workload |
0.11 |
|
* denotes p < 0.1 and ** denotes p < 0.05 |
|
Time Since Degree
The ANOVA testing the effect of time since degree on job control for instruction suggests that the main effect is statistically significant and small (F(4, 238) = 2.81, p = 0.026; Eta2 = 0.05, 95% CI [2.91e-03, 1.00]). Post-hoc analysis using Tukey’s HSD test revealed a significant difference between participants with 16 or more years since receiving their degree and participants with one to five years since receiving their degree (p < 0.05).
As demonstrated in Figure 7 and Table 4, job control for instruction generally increases over time, though the mean job control is highest for individuals who received their degrees less than a year ago, though the number of participants in that category is particularly low.
|
Table 4 |
||||||
|
Job Control for Instruction by Time Since Degree in Years |
||||||
|
Time Since Degree (years) |
N |
Mean |
Median |
Std. Dev. |
Min. |
Max. |
|
Less than 1 |
6 |
3.45 |
3.29 |
0.930 |
2.52 |
5 |
|
1 to 5 |
62 |
2.99 |
2.93 |
0.599 |
1.86 |
5 |
|
6 to 10 |
63 |
3.06 |
3.10 |
0.620 |
1.62 |
5 |
|
11 to 15 |
45 |
3.14 |
3.14 |
0.536 |
1.90 |
4.38 |
|
16 or more |
67 |
3.29 |
3.29 |
0.553 |
2.19 |
4.43 |
|
Figure 7 |
|
Average Job Control for Instruction Duties by Intervals of Numbers |
|
|
Training Received
The ANOVA testing the effect of whether or not teacher training was received on job control for instruction suggests that the main effect is statistically significant and small (F(2, 242) = 3.38, p = 0.036; Eta2 = 0.03, 95% CI [9.70e-04, 1.00]). For this test, teacher training received was flattened to yes or no. Respondents had three yes options: “Yes, in library school and on the job,” “Yes, only in library school,” and “Yes, only on the job.” The difference between these was not statistically significant, but the difference was statistically significant when comparing yes to no. Post-hoc analysis using Tukey’s HSD test revealed a significant difference between respondents who received no teacher training and respondents who provided free text responses coded as “Other.”
As demonstrated in Table 5 and Figure 8, mean job control for instruction is higher for those who have received training for library instruction than those who haven’t; however, job control for instruction is particularly high for those who responded “Other.” Responses for other generally referenced teacher training that was not specific to libraries or not provided through a library program.
|
Table 5 |
||||||
|
Job Control for Instruction by Whether or Not Training Was Received |
||||||
|
Training Received |
N |
Mean |
Median |
Std. Dev. |
Min. |
Max. |
|
Yes |
173 |
3.14 |
3.14 |
0.609 |
1.86 |
5 |
|
No |
58 |
3.02 |
3 |
0.571 |
1.62 |
4.29 |
|
Other |
14 |
3.47 |
3.40 |
0.427 |
2.71 |
4.10 |
|
Figure 8 |
|
Average Job Control for Instruction Duties by Whether or Not Participant Received Teacher Training |
|
|
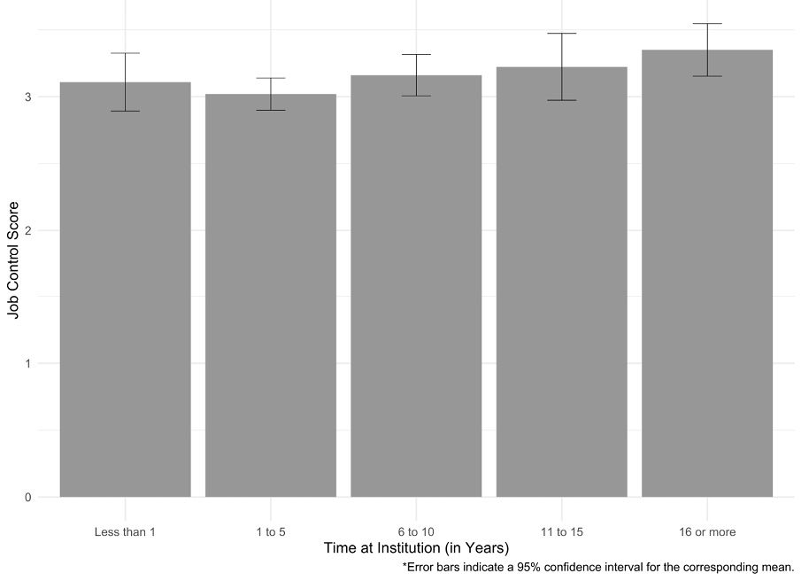
Time at Institution
The ANOVA testing the effect of time at institution on job control for instruction suggests that the main effect is statistically not significant and small (F(4, 240) = 2.31, p = 0.058; Eta2 = 0.04, 95% CI [0.00, 1.00]). The p value is less than 0.1, suggesting weak evidence that the difference in means is not due to random chance. Post-hoc analysis using Tukey’s HSD test revealed that the difference between participants with 16 or more years since receiving their degree and participants with one to five years since receiving their degree is statistically significant (p < 0.05).
As demonstrated in Figure 9 and Table 6, mean job control for instruction increases over time at an institution similarly to time since degree with the mean for those with less than one year at their institution slightly disrupting the trend.
|
Table 6 |
||||||
|
Job Control for Instruction by Time at Institution in Years |
||||||
|
Time at Institution (years) |
N |
Mean |
Median |
Std. Dev. |
Min. |
Max. |
|
Less than 1 |
31 |
3.11 |
3.05 |
0.590 |
1.86 |
5 |
|
1 to 5 |
100 |
3.02 |
3.02 |
0.608 |
1.62 |
5 |
|
6 to 10 |
55 |
3.16 |
3.24 |
0.572 |
1.90 |
5 |
|
11 to 15 |
23 |
3.22 |
3.19 |
0.578 |
2.24 |
4.38 |
|
16 or more |
36 |
3.35 |
3.40 |
0.580 |
2.19 |
4.29 |
|
Figure 9 |
|
Average Job Control for Instruction Duties by Intervals of Number of Years at Current Institution |
|
|
Full-time or Part-time
The ANOVA testing the effect of full-time or part-time status on job control for instruction suggests that the main effect is statistically not significant and small (F(1, 243) = 2.84, p = 0.093; Eta2 = 0.01, 95% CI [0.00, 1.00]). The p value is less than 0.1, suggesting weak evidence that the difference in means is not due to random chance. As demonstrated in Figure 10 and Table 7, the mean and median job control scores for librarians in full-time positions are greater than those in part-time positions. Additionally, the maximum job control among librarians in part-time positions is lower than the mean and median scores among librarians in full-time positions. However, the number of participants in part-time roles (n=3) is quite low, making it difficult to support solid conclusions.
|
Table 7 |
||||||
|
Job Control for Instruction by Full-time or Part-time Position |
||||||
|
Full-time or Part-time |
N |
Mean |
Median |
Std. Dev. |
Min. |
Max. |
|
Full-time |
242 |
3.14 |
3.14 |
0.597 |
1.62 |
5 |
|
Part-time |
3 |
2.56 |
2.52 |
0.334 |
2.24 |
2.90 |
|
Figure 10 |
|
Average Job Control for Instruction Duties by Full-time or Part-time Positions |
|
|
Tenure (Individual)
The ANOVA testing the effect of whether or not an individual has attained tenure at their institution suggests that the main effect is statistically not significant and small (F(2, 117) = 2.52, p = 0.085; Eta2 = 0.04, 95% CI [0.00, 1.00]). The p value is less than 0.1, suggesting weak evidence that the difference in means is not due to random chance. Post-hoc analysis using Tukey’s HSD test revealed that the difference between participants with tenure and those without was statistically not significant (p = 0.069) but also suggests weak evidence. Tukey’s HSD is also a conservative test, which might lend to a lack of probabilistic significance; however, as can be seen in Figure 11 and Table 8, average job control is lower for individuals without tenure than individuals with tenure. Additionally, “not applicable” here refers to individuals at institutions where it isn’t possible to attain tenure. The question about an individual’s tenure status was only presented if they responded that tenure was available to librarians at their institution. Among those without access to tenure, average job control is still higher than those with access to tenure but who have not yet attained the status.
|
Table 8 |
||||||
|
Job Control for Instruction by an Individual’s Tenure Status |
||||||
|
Tenure (Individual) |
N |
Mean |
Median |
Std. Dev. |
Min. |
Max. |
|
No |
63 |
2.98 |
2.86 |
0.657 |
1.86 |
5 |
|
Yes |
55 |
3.23 |
3.24 |
0.534 |
2.24 |
4.38 |
|
Other |
2 |
3.19 |
3.19 |
0.269 |
3 |
3.38 |
|
Not Applicable |
125 |
3.16 |
3.19 |
0.588 |
1.62 |
5 |
|
Figure 11 |
|
Average Job Control for Instruction Duties by Participant’s Individual Tenure Status |
|
|
Income
The ANOVA testing the effect of income suggests that the main effect is statistically not significant and small (F(5, 239) = 1.85, p = 0.104; Eta2 = 0.04, 95% CI [0.00, 1.00]). Since the p value was close to 0.1, which would suggest weak significance that the difference in means is not due to random chance, post-hoc analysis was conducted using Tukey’s HSD. The post-hoc analysis revealed weak evidence of statistical significance (p = 0.063) when comparing participants with incomes from $50,000 to $74,999 to those with incomes of $100,000 or greater.
|
Table 9 |
|||||||
|
Job Control for Instruction by Income with Comparison Between Methods of Measuring Job Control |
|||||||
|
Income |
Measurement |
N |
Mean |
Median |
Std. Dev. |
Min. |
Max. |
|
$20,000 to $34,999 |
Job Control Score |
1 |
2.90 |
2.90 |
NA |
2.90 |
2.90 |
|
$20,000 to $34,999 |
Perception Control Item |
1 |
3 |
3 |
NA |
3 |
3 |
|
$35,000 to $49,999 |
Job Control Score |
16 |
3.14 |
3.14 |
0.532 |
2.29 |
4.14 |
|
$35,000 to $49,999 |
Perception Control Item |
16 |
3.12 |
3 |
0.342 |
3 |
4 |
|
$50,000 to $74,999 |
Job Control Score |
129 |
3.05 |
3.05 |
0.623 |
1.62 |
5 |
|
$50,000 to $74,999 |
Perception Control Item |
129 |
3.21 |
3 |
0.845 |
1 |
5 |
|
$75,000 to $99,999 |
Job Control Score |
77 |
3.19 |
3.14 |
0.586 |
1.95 |
5 |
|
$75,000 to $99,999 |
Perception Control Item |
77 |
3.31 |
3 |
0.892 |
1 |
5 |
|
$100,000 or greater |
Job Control Score |
16 |
3.49 |
3.45 |
0.437 |
2.52 |
4.24 |
|
$100,000 or greater |
Perception Control Item |
16 |
3.88 |
4 |
0.619 |
3 |
5 |
|
Prefer not to disclose |
Job Control Score |
6 |
3.04 |
2.88 |
0.448 |
2.57 |
3.67 |
|
Prefer not to disclose |
Perception Control Item |
6 |
2.67 |
3 |
0.816 |
1 |
3 |
|
Figure 12 |
|
Average Job Control for Instruction Duties by Income Intervals |
|
|
Additionally, income was the only value that becomes statistically significant when using the control test item on the job control scale rather than the averaged score. As mentioned above, the job control score is the average of the values for the first twenty-one items on the scale. The twenty-second item is a control for perception. The question is also measured using a likert scale (1 = very little; 2 = little; 3 = a moderate amount; 4 = much; 5 = very much) and asks: “In general, how much overall control do you have over work and work-related matters?”
The ANOVA testing the effect of income on the control item from the job control scale suggests that the main effect of Income is statistically significant and small (F(5, 239) = 2.66, p = 0.023; Eta2 = 0.05, 95% CI [3.97e-03, 1.00]). Post-hoc analysis revealed statistically significant differences between individuals with incomes in the range $50,000 to $74,999 and those with incomes of $100,000 or greater (p = 0.031) and between individuals who preferred not to disclose their incomes and those with incomes of $100,000 or greater (p = 0.029).
While some of the data are quite limited due to low numbers of participants in some of the income intervals, job control has a general upwards trajectory as income increases within the sample.
Teaching Workload
The ANOVA testing the effect of teaching workload suggests that the main effect is statistically not significant and small (F(4, 240) = 1.90, p = 0.110; Eta2 = 0.03, 95% CI [0.00, 1.00]). Data related to teaching workload are included because it’s interesting that teaching workload was statistically significant when considering job control generally in Johnson (2023); however, it is not statistically significant when considering job control for instruction which is presumably more directly related. Similarly, post-hoc analysis was conducted using Tukey’s HSD. In Johnson (2023), the post-hoc analysis didn’t reveal any statistically significant findings; however, the difference between participants with slightly light and slightly excessive workloads was near statistical significance (p = 0.056). For job control regarding instruction, the p value is even greater (p = 0.114). Regardless, the data are illustrated in Table 10 and Figure 13.
|
Table 10 |
||||||
|
Job Control for Instruction by Perception of Teaching Workload |
||||||
|
Perception of Teaching Workload |
N |
Mean |
Median |
Std. Dev. |
Min. |
Max. |
|
Far too light |
17 |
3.18 |
3.24 |
0.797 |
1.95 |
5 |
|
Slightly light |
60 |
3.23 |
3.19 |
0.670 |
1.62 |
5 |
|
Just right |
90 |
3.15 |
3.17 |
0.537 |
1.86 |
4.43 |
|
Slightly excessive |
68 |
2.98 |
3 |
0.521 |
1.67 |
4.43 |
|
Far too excessive |
10 |
3.32 |
3.52 |
0.655 |
2.33 |
4.29 |
|
Figure 13 |
|
Average Job Control for Instruction Duties by Participant’s Perception of Their Teaching Workload |
|
|
Status
The ANOVA testing the effect of status (faculty, academic staff, or staff) suggests that the main effect of status is statistically not significant and small (F(2, 242) = 1.45, p = 0.238; Eta2 = 0.01, 95% CI [0.00, 1.00]). Post-hoc analysis using Tukey’s HSD revealed that the differences between staff and academic staff (p = 0.253) and between staff and faculty (p = 0.263) were not statistically significant. In Johnson (2023) these were significant for job control in general, so they’re included here for comparison. Also, while the difference might not be statistically significant, average job control for instruction is still greater for academic staff and faculty than staff. Both academic staff and faculty also had a maximum score of 5 while the maximum score for staff was 4.10.
|
Table 11 |
||||||
|
Job Control for Instruction by Status |
||||||
|
Status |
N |
Mean |
Median |
Std. Dev. |
Min. |
Max. |
|
Staff |
34 |
2.97 |
3 |
0.594 |
1.62 |
4.10 |
|
Academic Staff |
58 |
3.18 |
3.07 |
0.602 |
1.95 |
5 |
|
Faculty |
153 |
3.15 |
3.19 |
0.594 |
1.67 |
5 |
|
Figure 14 |
|
Average Job Control for Instruction Duties by Participant’s Status |
|
|
Discussion
This research continues the development of a body of knowledge related to job control among academic librarians, which began with Johnson (2023). That article demonstrates the inverse correlation between job control in general and burnout across three domains: personal, work-related, and client-related. The results presented here corroborate those findings regarding job control when doing instruction. Additionally, these results demonstrate that academic instruction librarians perceive their job control to be lower while completing their instructional tasks as compared to overall job control. This finding points to key issues with instructional work for librarians. The data also demonstrate existing statistically significant differences in average job control for academic instruction librarians based on their time since receiving their degree and whether or not they received training for library instruction. While previous literature and the data presented here together provide a means for conjecture regarding this discrepancy in job control in general and when doing instruction, further research is needed to pinpoint key issues and identify productive remedies or solutions. Additionally, the linear regressions presented represent a predictive rather than causal relationship. Further experimental research would be required to demonstrate a causal relationship.
Implications for the Profession
Since job control may be a predictor of burnout, it’s worthwhile to consider the factors that impact job control as a potential means for reducing burnout. Regardless of the relation to burnout, supporting librarian agency at work is important for empowering workers. While job control for librarians appears to be generally higher than in some other professions, the decrease in job control for academic instruction librarians when performing instructional duties warrants further consideration. Even among librarians who are not experiencing burnout, job control is still lower when completing instructional duties.
The issue of one-shot library instruction continues to be discussed at length within the field and could be one reason for reduced control when completing instructional responsibilities. However, further research is needed to identify exactly what aspects of library instruction contribute to reduced job control.
A participants’ time since receiving their graduate degree and whether or not they received training to do library instruction were statistically significant (p < 0.05). Based on the data collected, perception of job control generally increases from those with less time since degree to those with more time. Participants with less than one year since receiving their degrees defy this trend by having higher job control on average in comparison to all other groups. This is possibly due to the lower number of responses in this category (n=6) or some protecting factor from newness in the field. However, it’s possible that job control generally increases with experience in the field, though the lack of longitudinal data limits the ability to prove this effect. Nonetheless, the data do point to a need to support early career librarians as they establish their agency and build their perception of control particularly in the realm of library instruction. Regarding time since degree, it’s interesting that Johnson’s (2023) analysis of job control generally found that the length of time at their current institution, length of time since receiving their degree, and length of time they’ve been working in libraries were all not statistically significant. However, time since degree was statistically significant for job control when doing instruction. In that regard, the impact of time since degree (with job control increasing as time since degree increases) seems specific to library instruction, which may be related to gaining experience or learning more about how to do library instruction.
Similarly, whether or not training for library instruction was received did not have a statistically significant effect for job control in general but it does for job control with regard to instruction. This combination of the impact of time since receiving your degree and whether or not you received training to do library instruction may point to the value and impact of training, skill development, and experience on job control with regard to instruction. Building instructional skills may be important for increasing agency. In this regard in particular, it seems important that library schools continue to offer training related to library instruction and that academic libraries find ways to support their librarians’ continued professional development related to instruction either through in-house programs, such as training or peer observation, or outside training, such as ACRL Immersion.
Limitations
The study sample is both a small percentage of the population being studied and a non-probabilistic, convenience sample, so the data are not generalizable and may include various biases due to the sampling and survey distribution methods. The survey questionnaire also employed the same job control scale twice, which could potentially effect responses in the second completion, though responses where a participant started the second scale but stopped (possibly because they thought it was duplicated in error) were removed for the analysis. Additionally, the linear regressions presented between burnout and job control may be used as a means of prediction but are not representative of a causal relationship, which is to say that limiting a worker’s job control does not necessarily cause them to experience burnout. Similarly, the means testing conducted demonstrate statistically significant differences in means. This again doesn’t imply that the factor studied causes a change in job control. There may also be significant nuance or confounding related factors which have led to the related difference in means. Further research is required to continue to build our understanding of job control as a phenomenon in academic librarianship.
Areas for Future Research
It may be illuminating to employ the job control scale as a pre- and post-test measurement of the efficacy of library instruction training programs to see how these programs contribute to changes in a librarian’s perceived agency regarding library instruction. In addition to quantitative research using the job control inventory, additional qualitative research may demonstrate areas of additional consideration for improving job control. This study looked at some specific factors that were hypothesized to have an impact on job control; however, qualitative research may be more effective in revealing shared areas that impact job control for academic instruction librarians. Relatedly, this research looked very narrowly at academic instruction librarians and specifically considered the difference in job control when performing instruction. Further research could look at academic instruction librarians more broadly or consider differences in job control across other core responsibilities in librarianship.
Regarding instruction, further research could consider differences in job control across different types of instruction, such as one-shots, credit-bearing courses, or standalone workshops. In Johnson (2023), status and teaching workload were significant factors impacting job control generally; however, they were not significant for job control for instruction. It would be interesting to consider this further. In any of this future research, employing a randomized sampling technique would allow for the development of generalizable results across academic librarians.
Conclusion
Burnout is inversely correlated with both job control in general, and job control specifically regarding library instruction. As such, job control may be a predictor of burnout among academic instruction librarians. As we consider the characteristics of library instruction, we should consider how those characteristics impact librarian agency in teaching spaces and acts. In particular, librarians and library administrators should continue to consider the possible negative impacts on worker and organizational health as a result of our investment in the one-shot model as the primary means of instructional engagement for librarians. Further research should specifically consider the relationship between job control and one-shot lessons, and should possibly consider differences in job control when performing instruction via different modes and approaches.
For job control regarding instruction, training and experience may have specific impacts and should be pursued as a means to empower academic library instructors. Especially for librarians who are new to teaching, librarians may consider developing teacher training opportunities, such as building a community of practice, providing opportunities for peer observation or mentoring, creating a formal training program, workshop, or course, or encouraging participation in professional development activities such as ACRL Immersion.
Acknowledgements
The author would like to acknowledge the Institute for Research Design in Librarianship (IRDL), directed by Marie R. Kennedy and Kristine R. Brancolini, for their support of this project, and the entire 2022 IRDL cohort for their camaraderie. Additionally, comments from two anonymous peer reviewers and from Ruth Monnier, Sylvia Page, Sarah Slaughter, Eamon Tewell, and Tessa Withorn greatly improved the quality of this article.
References
Chiang, F. F. T., Birtch, T. A., & Kwan, H. K. (2010). The moderating roles of job control and work-life balance practices on employee stress in the hotel and catering industry. International Journal of Hospitality Management, 29(1), 25–32. https://doi.org/10.1016/j.ijhm.2009.04.005
Cohen, J. (1988). Statistical power analysis for the behavioral sciences (2nd ed). L. Erlbaum Associates.
Creedy, D. K., Sidebotham, M., Gamble, J., Pallant, J., & Fenwick, J. (2017). Prevalence of burnout, depression, anxiety and stress in Australian midwives: A cross-sectional survey. BMC Pregnancy and Childbirth, 17(1), 13. https://doi.org/10.1186/s12884-016-1212-5
Field, A. P. (2013). Discovering statistics using IBM SPSS statistics (4th edition). Sage.
Funder, D. C., & Ozer, D. J. (2019). Evaluating effect size in psychological research: Sense and nonsense. Advances in Methods and Practices in Psychological Science, 2(2), 156–168. https://doi.org/10.1177/2515245919847202
Ganster, D. G. (1989). Measurement of worker control. Final report. (No. PB2005105188). Nebraska Univ.-Lincoln. Dept. of Management.; National Inst. for Occupational Safety and Health, Washington, DC. https://ntrl.ntis.gov/NTRL/dashboard/searchResults/titleDetail/PB2005105188.xhtml
Jensen, J. M., Patel, P. C., & Messersmith, J. G. (2013). High-performance work systems and job control: Consequences for anxiety, role overload, and turnover intentions. Journal of Management, 39(6), 1699–1724. https://doi.org/10.1177/0149206311419663
Johnson, M. W. (2023). Job Control and Its Impacts on Burnout in Academic Instruction Librarians. Journal of Library Administration, 63(5), 595–632. https://doi.org/10.1080/01930826.2023.2219601
Johnson, M. W. (2024). Use of the Copenhagen Burnout Inventory among US academic librarians: Examining construct validity through factor structure and model fit. The Journal of Academic Librarianship, 50(5), 102922. https://doi.org/10.1016/j.acalib.2024.102922
Karasek, R. A. (1979). Job demands, job decision latitude, and mental strain: Implications for job redesign. Administrative Science Quarterly, 24(2), 285–308. https://doi.org/10.2307/2392498
Kristensen, T. S., Borritz, M., Villadsen, E., & Christensen, K. B. (2005). The Copenhagen Burnout Inventory: A new tool for the assessment of burnout. Work & Stress, 19(3), 192–207. https://doi.org/10.1080/02678370500297720
Leiter, M. P., & Maslach, C. (2003). Areas of Worklife: A structured approach to organizational predictors of job burnout. In P. L. Perrewe & D. C. Ganster (Eds.), Emotional and Physiological Processes and Positive Intervention Strategies (Vol. 3, pp. 91–134). Emerald Group Publishing Limited. https://doi.org/10.1016/S1479-3555(03)03003-8
Lüdecke, D., Makowski, D., Ben-Shachar, M. S., Patil, I., & Wiernik, B. M. (2022). Framework for easy statistical modeling, visualization, and reporting (Version 0.5.2) [Computer software]. https://easystats.github.io/easystats/
Milfont, T. L., Denny, S., Ameratunga, S., Robinson, E., & Merry, S. (2008). Burnout and wellbeing: Testing the Copenhagen Burnout Inventory in New Zealand teachers. Social Indicators Research, 89(1), 169–177. https://doi.org/10.1007/s11205-007-9229-9
Pagowsky, N. (2021). The contested one-shot: deconstructing power structures to imagine new futures. College & Research Libraries, 82(3), 300. https://doi.org/10.5860/crl.82.3.300
Pagowsky, N. (2022). Introduction to the special issue: Critique as care: Disrupting narratives of the one-shot instruction model. College & Research Libraries, 83(5). https://doi.org/10.5860/crl.83.5.713
Park, H. I., Jacob, A. C., Wagner, S. H., & Baiden, M. (2014). Job control and burnout: A Meta‐analytic test of the Conservation of Resources model. Applied Psychology: An International Review, 63(4), 607–642. https://doi.org/10.1111/apps.12008
Portoghese, I., Galletta, M., Coppola, R. C., Finco, G., & Campagna, M. (2014). Burnout and workload among health care workers: The moderating role of job control. Safety and Health at Work, 5(3), 152–157. https://doi.org/10.1016/j.shaw.2014.05.004
R Core Team. (2022). R: The R Project for Statistical Computing (Version 4.2.1) [Computer software]. R Foundation for Statistical Computing. https://www.r-project.org/
Rizopoulos, D. (2007). Ltm: An R package for latent variable modeling and item response analysis. Journal of Statistical Software, 17, 1–25. https://doi.org/10.18637/jss.v017.i05
Salvagioni, D. A. J., Melanda, F. N., Mesas, A. E., González, A. D., Gabani, F. L., & Andrade, S. M. de. (2017). Physical, psychological and occupational consequences of job burnout: A systematic review of prospective studies. PLOS ONE, 12(10), e0185781. https://doi.org/10.1371/journal.pone.0185781
Sanne, B., Mykletun, A., Dahl, A. A., Moen, B. E., & Tell, G. S. (2005). Testing the job demand–control–support model with anxiety and depression as outcomes: The Hordaland Health Study. Occupational Medicine, 55(6), 463–473. https://doi.org/10.1093/occmed/kqi071
Taris, T. W., Bakker, A. B., Schaufeli, W. B., Stoffelsen, J., & Van Dierendonck, D. (2005). Job control and burnout across occupations. Psychological Reports, 97(3), 955–961. https://doi.org/10.2466/pr0.97.3.955-961
Thompson, C. A., & Prottas, D. J. (2006). Relationships among organizational family support, job autonomy, perceived control, and employee well-being. Journal of Occupational Health Psychology, 11(1), 100–118. https://doi.org/10.1037/1076-8998.10.4.100
Too, L. S., Leach, L., & Butterworth, P. (2021). Cumulative impact of high job demands, low job control and high job insecurity on midlife depression and anxiety: A prospective cohort study of Australian employees. Occupational and Environmental Medicine, 78(6), 400–408. https://doi.org/10.1136/oemed-2020-106840
Venables, W. N., & Ripley, B. D. (2002). Modern applied statistics with S, 4th ed (4th ed.). Springer. https://www.stats.ox.ac.uk/pub/MASS4/
Walters, J. E., Brown, A. R., & Jones, A. E. (2018). Use of the Copenhagen Burnout Inventory with social workers: A confirmatory factor analysis. Human Service Organizations: Management, Leadership & Governance, 42(5), 437–456. https://doi.org/10.1080/23303131.2018.1532371
Wickham, H. (2011). The split-apply-combine strategy for data analysis. Journal of Statistical Software, 40, 1–29. https://doi.org/10.18637/jss.v040.i01
Wickham, H. (2022a). Ggplot2: Elegant graphics for data analysis (Version 3.4.0) [Computer software]. Springer-Verlag New York. https://ggplot2.tidyverse.org/
Wickham, H. (2022b). Stringr: Simple, consistent wrappers for common string operations (Version 1.4.1) [Computer software]. https://CRAN.R-project.org/package=stringr
Wickham, H., François, R., Henry, L., & Müller, K. (2022). Dplyr: A grammar of data manipulation (Version 1.0.10) [Computer software]. https://CRAN.R-project.org/package=dplyr
Wickham, H., & Girlich, M. (2022). Tidyr: Tidy messy data (Version 1.2.1) [Computer software]. https://CRAN.R-project.org/package=tidyr
Wood, B. A., Guimaraes, A. B., Holm, C. E., Hayes, S. W., & Brooks, K. R. (2020). Academic librarian burnout: A survey using the Copenhagen Burnout Inventory (CBI). Journal of Library Administration, 60(5), 512–531. https://doi.org/10.1080/01930826.2020.1729622
World Health Organization (WHO). (2020, September). Burnout. International Classification of Diseases, 11th Edition (ICD-11). https://icd.who.int/browse11/l-m/en#/http://id.who.int/icd/entity/129180281
Yousefi, B. (2022, November 4). Closing keynote. Critical Librarianship & Pedagogy Symposium 2022.
Appendix A: Survey
I’ve attempted to recreate the survey below. The information in brackets [] has been added to help explain the survey but didn’t appear on the original survey.
[The first page of the survey was a consent form, which is not included here.]
Job Control (General)
The following set of questions seeks to measure your feelings of job control overall.
Read each question about job control on the left and choose a response from the columns to the right.
[The following five options were presented from left to right for each row: Very Little, Little, A moderate amount, Much, Very much. The questions are included in the appendix of Ganster (1989).]
Job Control (Instruction)
Please complete the set of questions again thinking specifically about the instruction aspects of your job.
Please note: this is intentionally the same set of questions from the previous page. Please consider only the instruction aspects of your job as you answer them again.
Read each question about job control on the left and choose a response from the columns to the right.
[The questions were the same as above with the same response options.]
Burnout
The following questions are intended to measure your feeling of burnout.
[The questions are included in Kristensen et al., (2005) and used the response options provided below:
Questions 1-10 and 18-19 use the following scale:
- Always
- Often
- Sometimes
- Seldom
- Never-Almost Never
Questions 11-17 use the following scale:
- To a Very High Degree
- To a High Degree
- Somewhat
- To a Low Degree
- To a Very Low Degree]
Background and Demographic Information
The following questions will ask about different demographic information, your background, and your institution. This information will be used in survey data analysis in an attempt to determine some factors that might impact feelings of job control.
[The questions below were not numbered.]
- What is your gender?
- □ Agender
- □ Genderqueer or gender fluid
- □ Man
- □ Nonbinary
- □ Woman
- □ Unsure
- □ Prefer not to say
- □ Identity not listed (please specify)
- What is your gender modality? “Gender modality refers to how a person’s gender identity stands in relation to their gender assigned at birth” (Ashley, 2022).
- □ Cisgender
- □ Transgender
- □ Prefer not to disclose
- □ Identity not listed (please specify)
- What is your sexuality? Select all that apply.
- □ Asexual
- □ Bisexual
- □ Gay
- □ Lesbian
- □ Pansexual
- □ Queer
- □ Straight
- □ Prefer not to disclose
- □ Identity not listed (please specify)
- Are you disabled?
- □ Yes
- □ No
- □ Prefer not to disclose
- Which of the identities describe above have you disclosed at work or would you consider to be “out” at work? Select all that apply.
- □ Gender
- □ Gender modality
- □ Sexuality
- □ Disability
- □ None
- □ Not listed (please specify)
- Please describe your race/ethnicity? Select all that apply.
- □ African
- □ African American/Black
- □ East Asian (e.g., Chinese, Japanese, Korean, Mongolian, Tibetan, Taiwanese)
- □ Hispanic or Latinx/Latine
- □ Indigenous American, Native American, First Nations, or Alaska Native
- □ Middle Eastern or North African (e.g., Lebanese, Iranian, Egyptian, Syrian, Moroccan, Algerian)
- □ Pacific Islander (e.g., Native Hawaiian, Samoan, Chamorro, Tongan, Marshallese)
- □ South Asian (e.g., Bangladeshi, Bhutanese, Indian, Nepali, Pakistani, Sri Lankan)
- □ Southeast Asian (e.g., Burmese, Cambodian, Filipino, Hmong, Indonesian, Laotian, Malaysian, Mien, Singaporean, Thai, Vietnamese)
- □ White
- □ Prefer not to disclose
- □ Not listed (please specify)
[Questions 7-9 were presented in a grid with the same set of response options.]
- How long (in years) have you worked at your current institution?
- □ Less than 1
- □ 1-5
- □ 6-10
- □ 11-15
- □ Greater than 15
- How long (in years) have you been in a librarian position after receiving your degree (in library science or equivalent)
- □ Less than 1
- □ 1-5
- □ 6-10
- □ 11-15
- □ Greater than 15
- How long (in years) have you worked in libraries in any capacity?
- □ Less than 1
- □ 1-5
- □ 6-10
- □ 11-15
- □ Greater than 15
- Which of the following best describes the type of institution where you work?
- □ Doctoral university
- □ Master’s college or university
- □ Baccalaureate college
- □ Associate’s college
- □ Not listed (please specify)
- Which of the following best describes the institution where you work?
- □ Public
- □ Private, non-profit
- □ Private, for-profit
- □ Other (please specify)
- Which of the following best describes your current position?
- □ Permanent, full time
- □ Permanent, part time
- □ Temporary, full time
- □ Temporary, part time
- What is your annual salary or income (before taxes, etc.) in US Dollars?
- □ Less than $20,000
- □ $20,000 to $34,999
- □ $35,000 to $49,999
- □ $50,000 to $74,999
- □ $75,000 to $99,999
- □ $100,000 or greater
- □ Prefer not to disclose
- Which of the following best describes your employment status at your current institution?
- □ Faculty, tenure-track
- □ Faculty, non-tenure-track
- □ Academic staff
- □ Staff
- □ Not listed (please specify)
- Are librarians at your institution eligible for tenure or an equivalent status?
- □ Yes, tenure
- □ Yes, similar status
- □ No
- □ Not listed (please specify)
- [If either yes option in question 15 was selected:] Have you obtained tenure or its equivalent at your institution?
- □ Yes, I am tenured
- □ Yes, I have attained an equivalent status
- □ No
- □ Not listed (please specify)
- Are you represented by a union?
- □ Yes
- □ No
- □ In the process of unionizing
- □ Unsure
- □ Not listed (please specify)
- Have you received formal training in library school or on the job specifically intended to prepare you to teach?
- □ Yes, in library school and on the job
- □ Yes, only in library school
- □ Yes, only on the job
- □ No
- □ Not listed (please specify)
- [If any of the yes options in Question 18 were selected:] Do you believe this training adequately prepared you for teaching?
- □ Highly
- □ Somewhat
- □ Not at all
- Which of the following best describes your teaching workload?
- □ Far too light
- □ Slightly light
- □ Just right
- □ Slightly excessive
- □ Far too excessive
- The second phase of this study will involve follow-up interviews over Zoom. Are you willing to be contacted about a follow-up interview opportunity?
- □ Yes
- □ No
[If yes is selected in Question 21:] In order to further explore factors and structures that contribute to feelings of job control of lack of job control, a second phase of this study will include in-depth interviews with survey participants who experience significantly high or significantly low job control. Interview participants are expected to be compensated for their time, which will be approximately 60 minutes. Please note that if you agree to be considered for a follow-up interview and provide your email address below, your responses will no longer be anonymous; however, your responses will still be confidential. Your responses will be used to inform inclusion criteria for the in-depth interviews and to inform the design of the interview protocol. Please be aware that it may be up to a year before you are contacted for an interview.
Please provide your email address below:

This work is licensed under a Creative Commons Attribution-NonCommercial 4.0 International License.
Article Views (By Year/Month)
| 2026 |
| January: 228 |
| February: 171 |
| March: 173 |
| April: 204 |
| May: 0 |
| 2025 |
| January: 795 |
| February: 322 |
| March: 305 |
| April: 154 |
| May: 114 |
| June: 67 |
| July: 70 |
| August: 62 |
| September: 78 |
| October: 106 |
| November: 112 |
| December: 122 |